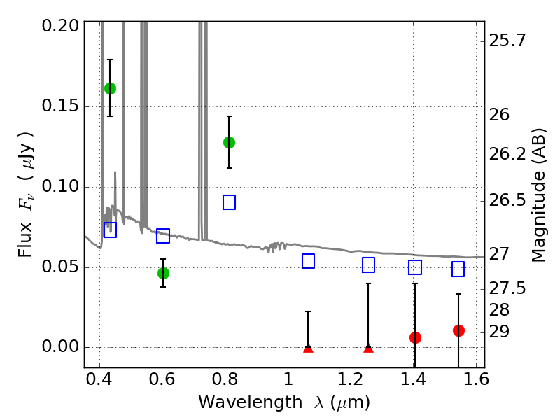
MACS0159-08 ACS+IR detection object #3642

Color images and BPZ results
Catalog: 3642.cat
Black segments are analyzed here.   Roll mouse over color images to view segments.
Best viewed in a wide browser window (1200 pixels or more).   Download SED & P(z) plots to view larger versions.
In P(z) plots: Yellow lines mark the cluster redshift z = 0.405,  

Object #3642   x,y = (2547, 2932)   RA, Dec = (01:59:50.136, -8:49:52.68) = (29.95890, -8.83130)   BPZ = 0.105 [0.083--2.086]   type = 11.00 (SB11_A_0_l)   stellarity = 0.00   chisq2 = 10.79   ODDS = 0.64   z_cluster = 0.405