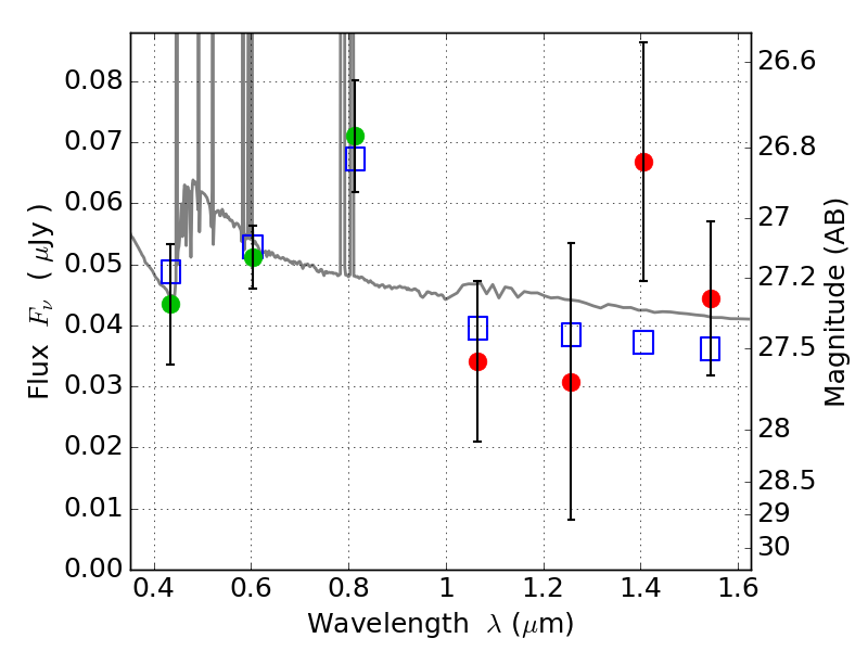
MACS0159-08 ACS+IR detection object #3448

Color images and BPZ results
Catalog: 3448.cat
Black segments are analyzed here.   Roll mouse over color images to view segments.
Best viewed in a wide browser window (1200 pixels or more).   Download SED & P(z) plots to view larger versions.
In P(z) plots: Yellow lines mark the cluster redshift z = 0.405,  

Object #3448   x,y = (3273, 3051)   RA, Dec = (01:59:47.208, -8:49:45.48) = (29.94670, -8.82930)   BPZ = 0.201 [0.100--3.240]   type = 11.00 (SB11_A_0_l)   stellarity = 0.07   chisq2 = 0.81   ODDS = 0.25   z_cluster = 0.405