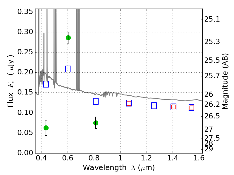
MACS0159-08 ACS+IR detection object #342

Color images and BPZ results
Catalog: 342.cat
Black segments are analyzed here.   Roll mouse over color images to view segments.
Best viewed in a wide browser window (1200 pixels or more).   Download SED & P(z) plots to view larger versions.
In P(z) plots: Yellow lines mark the cluster redshift z = 0.405,  

Object #342   x,y = (2341, 4886)   RA, Dec = (01:59:50.976, -8:47:55.68) = (29.96240, -8.79880)   BPZ = 0.019 [0.010--0.047]   type = 11.00 (SB11_A_0_l)   stellarity = 0.93   chisq2 = 44.19   ODDS = 1.00   z_cluster = 0.405