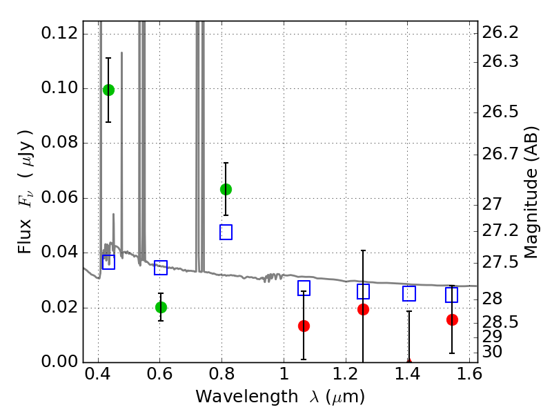
MACS0159-08 ACS+IR detection object #3305

Color images and BPZ results
Catalog: 3305.cat
Black segments are analyzed here.   Roll mouse over color images to view segments.
Best viewed in a wide browser window (1200 pixels or more).   Download SED & P(z) plots to view larger versions.
In P(z) plots: Yellow lines mark the cluster redshift z = 0.405,  

Object #3305   x,y = (2953, 2977)   RA, Dec = (01:59:48.504, -8:49:50.16) = (29.95210, -8.83060)   BPZ = 0.104 [0.090--2.376]   type = 11.00 (SB11_A_0_l)   stellarity = 0.09   chisq2 = 9.63   ODDS = 0.20   z_cluster = 0.405