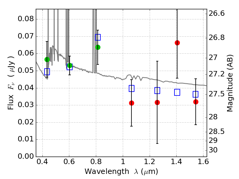
MACS0159-08 ACS+IR detection object #2609

Color images and BPZ results
Catalog: 2609.cat
Black segments are analyzed here.   Roll mouse over color images to view segments.
Best viewed in a wide browser window (1200 pixels or more).   Download SED & P(z) plots to view larger versions.
In P(z) plots: Yellow lines mark the cluster redshift z = 0.405,  

Object #2609   x,y = (2808, 3310)   RA, Dec = (01:59:49.080, -8:49:30.00) = (29.95450, -8.82500)   BPZ = 0.188 [0.095--3.026]   type = 11.00 (SB11_A_0_l)   stellarity = 0.00   chisq2 = 0.77   ODDS = 0.13   z_cluster = 0.405