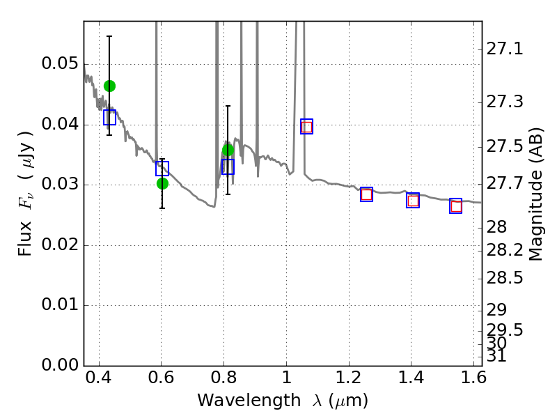
MACS0159-08 ACS+IR detection object #2216

Color images and BPZ results
Catalog: 2216.cat
Black segments are analyzed here.   Roll mouse over color images to view segments.
Best viewed in a wide browser window (1200 pixels or more).   Download SED & P(z) plots to view larger versions.
In P(z) plots: Yellow lines mark the cluster redshift z = 0.405,  

Object #2216   x,y = (3958, 3495)   RA, Dec = (01:59:44.424, -8:49:18.84) = (29.93510, -8.82190)   BPZ = 1.089 [0.518--2.592]   type = 11.00 (SB11_A_0_l)   stellarity = 0.15   chisq2 = 0.74   ODDS = 0.12   z_cluster = 0.405