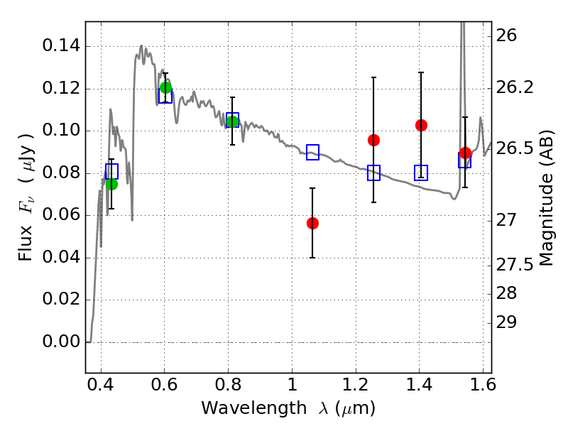
MACS0159-08 ACS+IR detection object #1710

Color images and BPZ results
Catalog: 1710.cat
Black segments are analyzed here.   Roll mouse over color images to view segments.
Best viewed in a wide browser window (1200 pixels or more).   Download SED & P(z) plots to view larger versions.
In P(z) plots: Yellow lines mark the cluster redshift z = 0.405,  

Object #1710   x,y = (3016, 3783)   RA, Dec = (01:59:48.240, -8:49:01.92) = (29.95100, -8.81720)   BPZ = 3.117 [0.318--3.335]   type = 10.60 (SB11_A_0_l - SB3_B10)   stellarity = 0.30   chisq2 = 1.19   ODDS = 0.60   z_cluster = 0.405