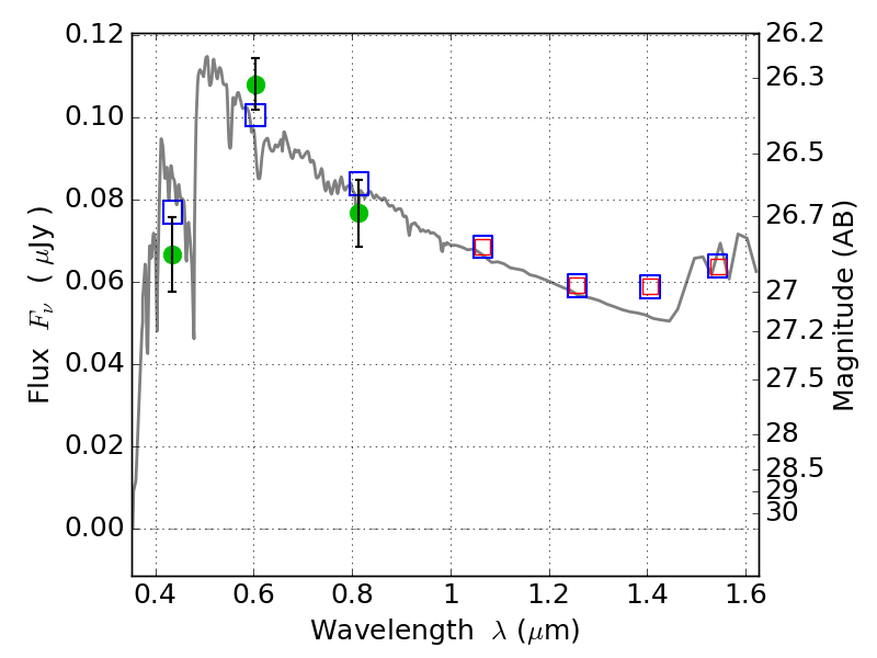
MACS0159-08 ACS+IR detection object #1692

Color images and BPZ results
Catalog: 1692.cat
Black segments are analyzed here.   Roll mouse over color images to view segments.
Best viewed in a wide browser window (1200 pixels or more).   Download SED & P(z) plots to view larger versions.
In P(z) plots: Yellow lines mark the cluster redshift z = 0.405,  

Object #1692   x,y = (3963, 3800)   RA, Dec = (01:59:44.400, -8:49:00.84) = (29.93500, -8.81690)   BPZ = 2.936 [0.039--3.272]   type = 11.00 (SB11_A_0_l)   stellarity = 0.26   chisq2 = 2.00   ODDS = 0.63   z_cluster = 0.405