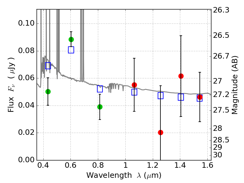
MACS0159-08 ACS+IR detection object #1495

Color images and BPZ results
Catalog: 1495.cat
Black segments are analyzed here.   Roll mouse over color images to view segments.
Best viewed in a wide browser window (1200 pixels or more).   Download SED & P(z) plots to view larger versions.
In P(z) plots: Yellow lines mark the cluster redshift z = 0.405,  

Object #1495   x,y = (3589, 3956)   RA, Dec = (01:59:45.912, -8:48:51.48) = (29.94130, -8.81430)   BPZ = 0.031 [0.014--3.230]   type = 11.00 (SB11_A_0_l)   stellarity = 0.01   chisq2 = 1.54   ODDS = 0.35   z_cluster = 0.405