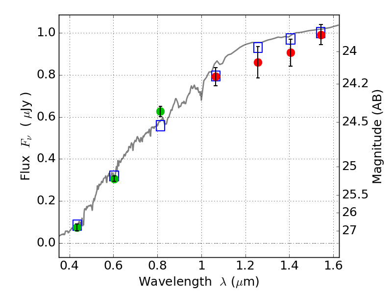
MACS0159-08 ACS+IR detection object #1463

Color images and BPZ results
Catalog: 1463.cat
Black segments are analyzed here.   Roll mouse over color images to view segments.
Best viewed in a wide browser window (1200 pixels or more).   Download SED & P(z) plots to view larger versions.
In P(z) plots: Yellow lines mark the cluster redshift z = 0.405,  

Object #1463   x,y = (2354, 3960)   RA, Dec = (01:59:50.928, -8:48:51.12) = (29.96220, -8.81420)   BPZ = 0.175 [0.090--4.130]   type = 4.00 (Ell4_A_0)   stellarity = 0.03   chisq2 = 0.49   ODDS = 0.61   z_cluster = 0.405