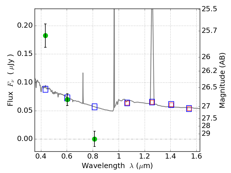
MACS0159-08 ACS+IR detection object #142

Color images and BPZ results
Catalog: 142.cat
Black segments are analyzed here.   Roll mouse over color images to view segments.
Best viewed in a wide browser window (1200 pixels or more).   Download SED & P(z) plots to view larger versions.
In P(z) plots: Yellow lines mark the cluster redshift z = 0.405,  

Object #142   x,y = (2596, 5091)   RA, Dec = (01:59:49.944, -8:47:43.08) = (29.95810, -8.79530)   BPZ = 1.594 [1.313--2.349]   type = 11.00 (SB11_A_0_l)   stellarity = 0.77   chisq2 = 34.43   ODDS = 0.27   z_cluster = 0.405