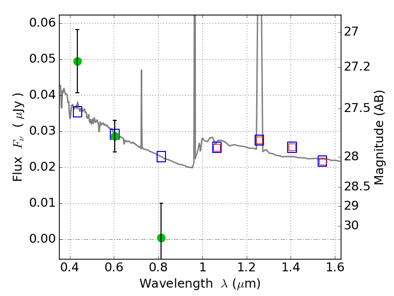
MACS0159-08 ACS+IR detection object #1207

Color images and BPZ results
Catalog: 1207.cat
Black segments are analyzed here.   Roll mouse over color images to view segments.
Best viewed in a wide browser window (1200 pixels or more).   Download SED & P(z) plots to view larger versions.
In P(z) plots: Yellow lines mark the cluster redshift z = 0.405,  

Object #1207   x,y = (3402, 4146)   RA, Dec = (01:59:46.680, -8:48:39.96) = (29.94450, -8.81110)   BPZ = 1.595 [1.101--2.642]   type = 11.00 (SB11_A_0_l)   stellarity = 0.05   chisq2 = 7.64   ODDS = 0.18   z_cluster = 0.405