MACS0159-08 ACS+IR detection object #1178

Color images and BPZ results
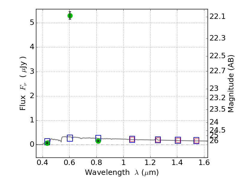
Catalog: 1178.cat
Black segments are analyzed here.   Roll mouse over color images to view segments.
Best viewed in a wide browser window (1200 pixels or more).   Download SED & P(z) plots to view larger versions.
In P(z) plots: Yellow lines mark the cluster redshift z = 0.405,  

Object #1178   x,y = (1675, 4177)   RA, Dec = (01:59:53.664, -8:48:38.16) = (29.97360, -8.81060)   BPZ = 3.444 [0.035--3.631]   type = 11.00 (SB11_A_0_l)   stellarity = 0.94   chisq2 = 1039.00   ODDS = 0.78   z_cluster = 0.405