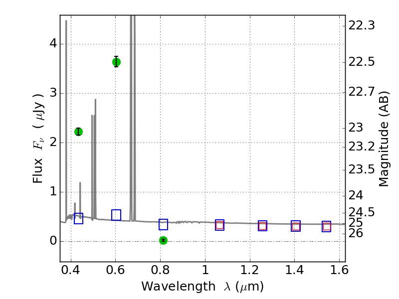
MACS0159-08 ACS+IR detection object #102

Color images and BPZ results
Catalog: 102.cat
Black segments are analyzed here.   Roll mouse over color images to view segments.
Best viewed in a wide browser window (1200 pixels or more).   Download SED & P(z) plots to view larger versions.
In P(z) plots: Yellow lines mark the cluster redshift z = 0.405,  

Object #102   x,y = (2616, 5132)   RA, Dec = (01:59:49.872, -8:47:40.92) = (29.95780, -8.79470)   BPZ = 0.017 [0.010--0.033]   type = 11.00 (SB11_A_0_l)   stellarity = 1.00   chisq2 = 1273.00   ODDS = 1.00   z_cluster = 0.405