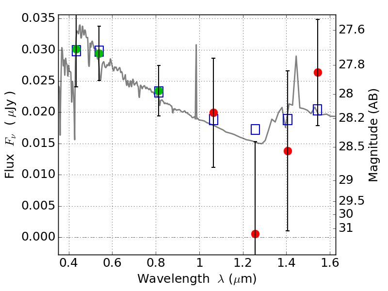
MACS0025-12 ACS+IR detection object #964

Color images and BPZ results
Catalog: 964.cat
Black segments are analyzed here.   Roll mouse over color images to view segments.
Best viewed in a wide browser window (1200 pixels or more).   Download SED & P(z) plots to view larger versions.
In P(z) plots: Yellow lines mark the cluster redshift z = 0.586,  

Object #964   x,y = (2185, 3596)   RA, Dec = (00:25:31.224, -12:21:48.60) = (6.38010, -12.36350)   BPZ = 2.517 [0.491--3.062]   type = 11.00 (SB11_A_0_l)   stellarity = 0.78   chisq2 = 0.47   ODDS = 0.24   z_cluster = 0.586