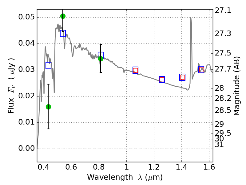
MACS0025-12 ACS+IR detection object #3285

Color images and BPZ results
Catalog: 3285.cat
Black segments are analyzed here.   Roll mouse over color images to view segments.
Best viewed in a wide browser window (1200 pixels or more).   Download SED & P(z) plots to view larger versions.
In P(z) plots: Yellow lines mark the cluster redshift z = 0.586,  

Object #3285   x,y = (3503, 1944)   RA, Dec = (00:25:25.824, -12:23:27.60) = (6.35760, -12.39100)   BPZ = 2.937 [0.326--10.043]   type = 10.70 (SB11_A_0_l - SB3_B10)   stellarity = 0.00   chisq2 = 4.08   ODDS = 0.34   z_cluster = 0.586