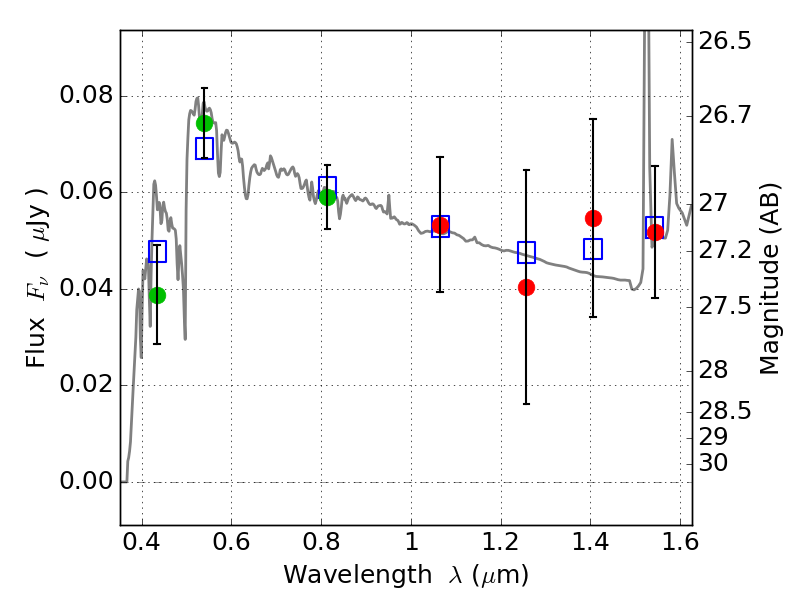
MACS0025-12 ACS+IR detection object #3109

Color images and BPZ results
Catalog: 3109.cat
Black segments are analyzed here.   Roll mouse over color images to view segments.
Best viewed in a wide browser window (1200 pixels or more).   Download SED & P(z) plots to view larger versions.
In P(z) plots: Yellow lines mark the cluster redshift z = 0.586,  

Object #3109   x,y = (3380, 2051)   RA, Dec = (00:25:26.328, -12:23:21.48) = (6.35970, -12.38930)   BPZ = 3.086 [0.334--3.405]   type = 10.50 (SB11_A_0_l - SB3_B10)   stellarity = 0.16   chisq2 = 0.31   ODDS = 0.57   z_cluster = 0.586