MACS0025-12 ACS+IR detection object #3101

Color images and BPZ results
Catalog: 3101.cat
Black segments are analyzed here.   Roll mouse over color images to view segments.
Best viewed in a wide browser window (1200 pixels or more).   Download SED & P(z) plots to view larger versions.
In P(z) plots: Yellow lines mark the cluster redshift z = 0.586,  

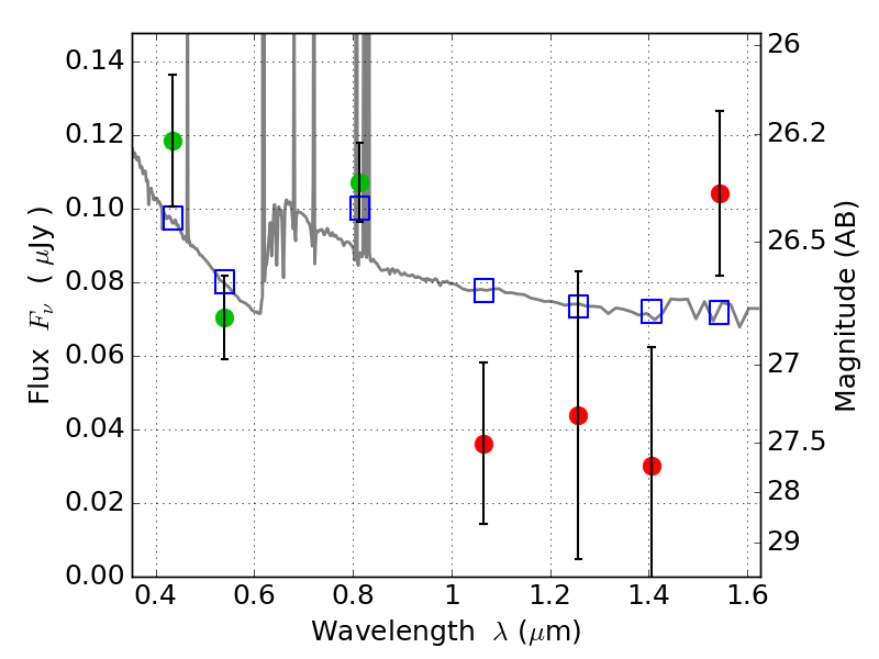
Object #3101   x,y = (2288, 2052)   RA, Dec = (00:25:30.792, -12:23:21.48) = (6.37830, -12.38930)   BPZ = 0.660 [0.099--2.550]   type = 11.00 (SB11_A_0_l)   stellarity = 0.00   chisq2 = 2.36   ODDS = 0.27   z_cluster = 0.586