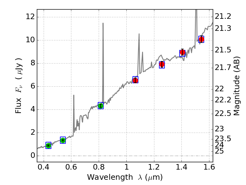
MACS0025-12 ACS+IR detection object #2390

Color images and BPZ results
Catalog: 2390.cat
Black segments are analyzed here.   Roll mouse over color images to view segments.
Best viewed in a wide browser window (1200 pixels or more).   Download SED & P(z) plots to view larger versions.
In P(z) plots: Yellow lines mark the cluster redshift z = 0.586,  

Object #2390   x,y = (2321, 2533)   RA, Dec = (00:25:30.672, -12:22:52.32) = (6.37780, -12.38120)   BPZ = 0.656 [0.519--0.849]   type = 6.90 (Scd_B10 - Sbc_B10)   stellarity = 0.03   chisq2 = 0.01   ODDS = 0.60   z_cluster = 0.586