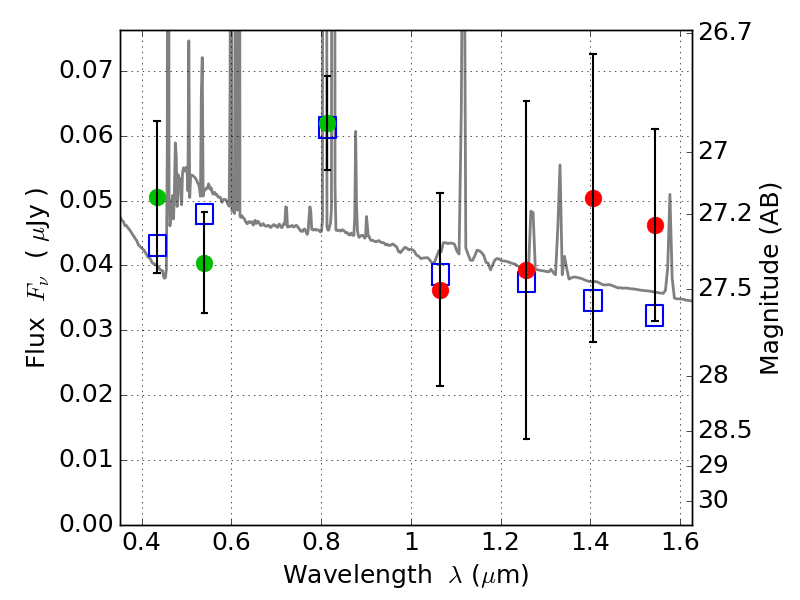
MACS0025-12 ACS+IR detection object #2306

Color images and BPZ results
Catalog: 2306.cat
Black segments are analyzed here.   Roll mouse over color images to view segments.
Best viewed in a wide browser window (1200 pixels or more).   Download SED & P(z) plots to view larger versions.
In P(z) plots: Yellow lines mark the cluster redshift z = 0.586,  

Object #2306   x,y = (2391, 2626)   RA, Dec = (00:25:30.360, -12:22:46.92) = (6.37650, -12.37970)   BPZ = 0.235 [0.116--3.105]   type = 10.70 (SB11_A_0_l - SB3_B10)   stellarity = 0.00   chisq2 = 0.61   ODDS = 0.12   z_cluster = 0.586