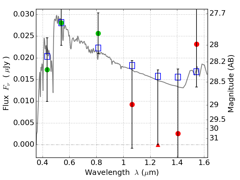
MACS0025-12 ACS+IR detection object #1692

Color images and BPZ results
Catalog: 1692.cat
Black segments are analyzed here.   Roll mouse over color images to view segments.
Best viewed in a wide browser window (1200 pixels or more).   Download SED & P(z) plots to view larger versions.
In P(z) plots: Yellow lines mark the cluster redshift z = 0.586,  

Object #1692   x,y = (2157, 3084)   RA, Dec = (00:25:31.320, -12:22:19.20) = (6.38050, -12.37200)   BPZ = 2.945 [0.107--3.460]   type = 11.00 (SB11_A_0_l)   stellarity = 0.01   chisq2 = 0.84   ODDS = 0.25   z_cluster = 0.586