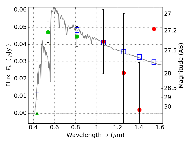
MACS0025-12 ACS+IR detection object #945

Color images and BPZ results
Catalog: 945.cat
Black segments are analyzed here.   Roll mouse over color images to view segments.
Best viewed in a wide browser window (1200 pixels or more).   Download SED & P(z) plots to view larger versions.
In P(z) plots: Yellow lines mark the cluster redshift z = 0.586,  

Object #945   x,y = (1806, 3698)   RA, Dec = (00:25:32.760, -12:21:42.48) = (6.38650, -12.36180)   BPZ = 3.619 [0.392--3.833]   type = 11.00 (SB11_A_0_l)   chisq2 = 1.54   ODDS = 0.73   z_cluster = 0.586