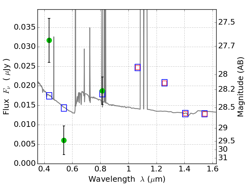
MACS0025-12 ACS+IR detection object #903

Color images and BPZ results
Catalog: 903.cat
Black segments are analyzed here.   Roll mouse over color images to view segments.
Best viewed in a wide browser window (1200 pixels or more).   Download SED & P(z) plots to view larger versions.
In P(z) plots: Yellow lines mark the cluster redshift z = 0.586,  

Object #903   x,y = (3265, 3733)   RA, Dec = (00:25:26.784, -12:21:40.32) = (6.36160, -12.36120)   BPZ = 0.668 [0.475--2.489]   type = 11.00 (SB11_A_0_l)   chisq2 = 10.29   ODDS = 0.11   z_cluster = 0.586