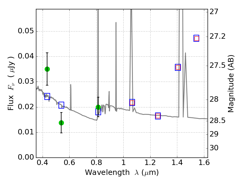
MACS0025-12 ACS+IR detection object #543

Color images and BPZ results
Catalog: 543.cat
Black segments are analyzed here.   Roll mouse over color images to view segments.
Best viewed in a wide browser window (1200 pixels or more).   Download SED & P(z) plots to view larger versions.
In P(z) plots: Yellow lines mark the cluster redshift z = 0.586,  

Object #543   x,y = (3096, 4065)   RA, Dec = (00:25:27.480, -12:21:20.52) = (6.36450, -12.35570)   BPZ = 1.178 [0.519--2.577]   type = 11.00 (SB11_A_0_l)   chisq2 = 4.30   ODDS = 0.11   z_cluster = 0.586