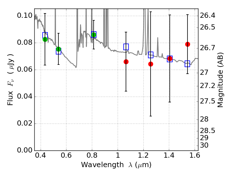
MACS0025-12 ACS+IR detection object #3124

Color images and BPZ results
Catalog: 3124.cat
Black segments are analyzed here.   Roll mouse over color images to view segments.
Best viewed in a wide browser window (1200 pixels or more).   Download SED & P(z) plots to view larger versions.
In P(z) plots: Yellow lines mark the cluster redshift z = 0.586,  

Object #3124   x,y = (1936, 2257)   RA, Dec = (00:25:32.232, -12:23:08.88) = (6.38430, -12.38580)   BPZ = 0.841 [0.132--3.212]   type = 10.80 (SB11_A_0_l - SB3_B10)   chisq2 = 0.18   ODDS = 0.10   z_cluster = 0.586