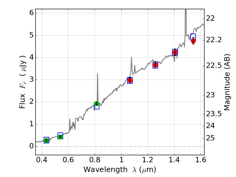
MACS0025-12 ACS+IR detection object #2906

Color images and BPZ results
Catalog: 2906.cat
Black segments are analyzed here.   Roll mouse over color images to view segments.
Best viewed in a wide browser window (1200 pixels or more).   Download SED & P(z) plots to view larger versions.
In P(z) plots: Yellow lines mark the cluster redshift z = 0.586,  

Object #2906   x,y = (2093, 2553)   RA, Dec = (00:25:31.584, -12:22:51.24) = (6.38160, -12.38090)   BPZ = 0.638 [0.400--0.763]   type = 6.40 (Sbc_B10 - Scd_B10)   chisq2 = 0.08   ODDS = 0.52   z_cluster = 0.586