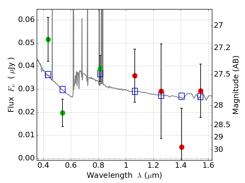
MACS0025-12 ACS+IR detection object #2755

Color images and BPZ results
Catalog: 2755.cat
Black segments are analyzed here.   Roll mouse over color images to view segments.
Best viewed in a wide browser window (1200 pixels or more).   Download SED & P(z) plots to view larger versions.
In P(z) plots: Yellow lines mark the cluster redshift z = 0.586,  

Object #2755   x,y = (2760, 2499)   RA, Dec = (00:25:28.848, -12:22:54.48) = (6.37020, -12.38180)   BPZ = 0.659 [0.206--2.375]   type = 11.00 (SB11_A_0_l)   chisq2 = 1.78   ODDS = 0.26   z_cluster = 0.586