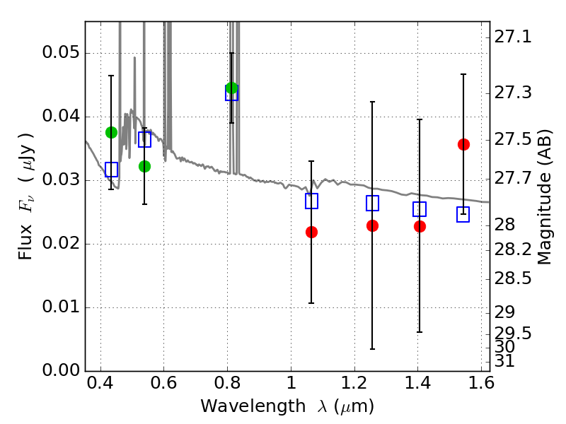
MACS0025-12 ACS+IR detection object #2234

Color images and BPZ results
Catalog: 2234.cat
Black segments are analyzed here.   Roll mouse over color images to view segments.
Best viewed in a wide browser window (1200 pixels or more).   Download SED & P(z) plots to view larger versions.
In P(z) plots: Yellow lines mark the cluster redshift z = 0.586,  

Object #2234   x,y = (2449, 2831)   RA, Dec = (00:25:30.120, -12:22:34.68) = (6.37550, -12.37630)   BPZ = 0.236 [0.099--3.264]   type = 11.00 (SB11_A_0_l)   chisq2 = 0.49   ODDS = 0.15   z_cluster = 0.586