MACS0025-12 ACS+IR detection object #1691

Color images and BPZ results
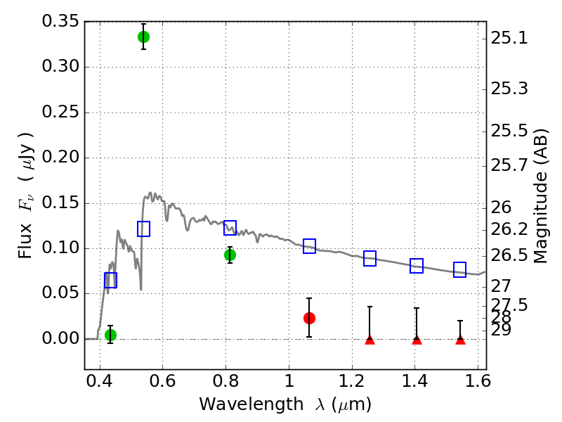
Catalog: 1691.cat
Black segments are analyzed here.   Roll mouse over color images to view segments.
Best viewed in a wide browser window (1200 pixels or more).   Download SED & P(z) plots to view larger versions.
In P(z) plots: Yellow lines mark the cluster redshift z = 0.586,  

Object #1691   x,y = (3507, 3181)   RA, Dec = (00:25:25.800, -12:22:13.44) = (6.35750, -12.37040)   BPZ = 3.377 [3.145--3.482]   type = 11.00 (SB11_A_0_l)   chisq2 = 58.87   ODDS = 0.95   z_cluster = 0.586