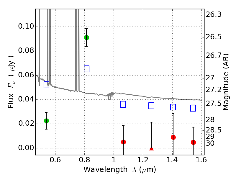
MACS0025-12 ACS+IR detection object #2803

Color images and BPZ results
Catalog: 2803.cat
Black segments are analyzed here.   Roll mouse over color images to view segments.
Best viewed in a wide browser window (1200 pixels or more).   Download SED & P(z) plots to view larger versions.
In P(z) plots: Yellow lines mark the cluster redshift z = 0.586,  

Object #2803   x,y = (1748, 1960)   RA, Dec = (00:25:33.000, -12:23:26.88) = (6.38750, -12.39080)   BPZ = 0.134 [0.096--4.180]   type = 11.00 (SB11_A_0_l)   chisq2 = 8.96   ODDS = 0.73   z_cluster = 0.586