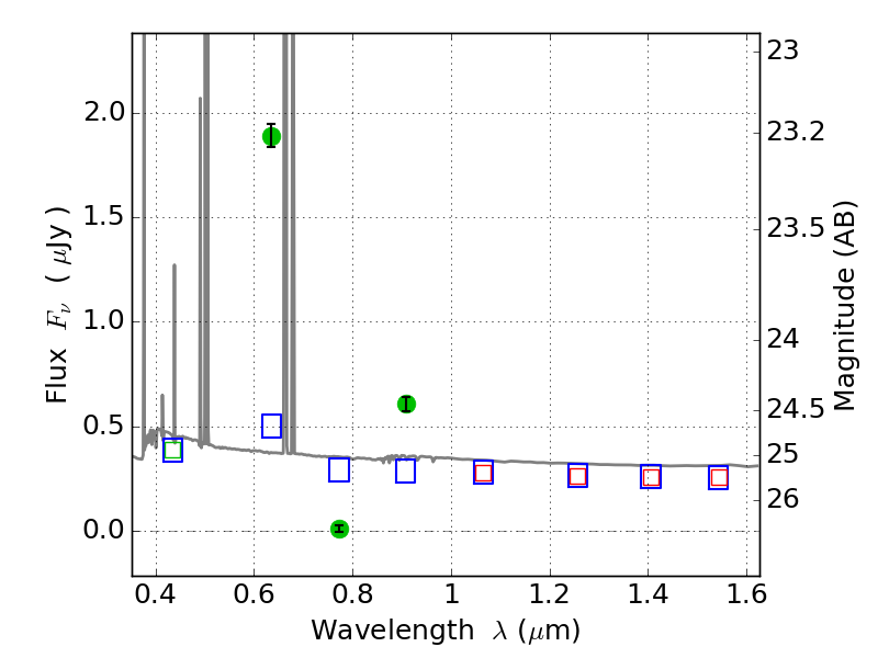
CL0152-13 ACS+IR detection object #8729

Color images and BPZ results
Catalog: 8729.cat
Black segments are analyzed here.   Roll mouse over color images to view segments.
Best viewed in a wide browser window (1200 pixels or more).   Download SED & P(z) plots to view larger versions.
In P(z) plots: Yellow lines mark the cluster redshift z = 0.833,  

Object #8729   x,y = (7853, 4004)   RA, Dec = (01:52:29.832, -13:58:00.48) = (28.12430, -13.96680)   BPZ = 0.012 [0.010--0.027]   type = 11.00 (SB11_A_0_l)   stellarity = 0.97   chisq2 = 559.57   ODDS = 1.00   z_cluster = 0.833