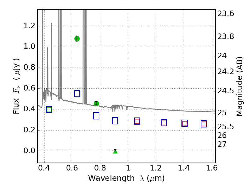
CL0152-13 ACS+IR detection object #6195

Color images and BPZ results
Catalog: 6195.cat
Black segments are analyzed here.   Roll mouse over color images to view segments.
Best viewed in a wide browser window (1200 pixels or more).   Download SED & P(z) plots to view larger versions.
In P(z) plots: Yellow lines mark the cluster redshift z = 0.833,  

Object #6195   x,y = (7199, 3343)   RA, Dec = (01:52:32.520, -13:58:40.08) = (28.13550, -13.97780)   BPZ = 0.037 [0.022--0.051]   type = 11.00 (SB11_A_0_l)   stellarity = 1.00   chisq2 = 182.73   ODDS = 1.00   z_cluster = 0.833