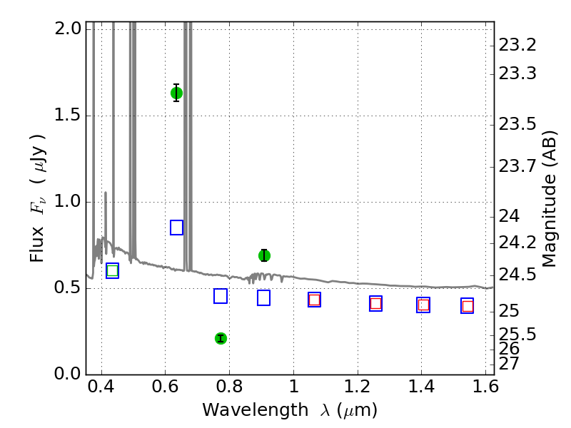
CL0152-13 ACS+IR detection object #5888

Color images and BPZ results
Catalog: 5888.cat
Black segments are analyzed here.   Roll mouse over color images to view segments.
Best viewed in a wide browser window (1200 pixels or more).   Download SED & P(z) plots to view larger versions.
In P(z) plots: Yellow lines mark the cluster redshift z = 0.833,  

Object #5888   x,y = (7132, 3229)   RA, Dec = (01:52:32.784, -13:58:46.92) = (28.13660, -13.97970)   BPZ = 0.011 [0.010--0.027]   type = 11.00 (SB11_A_0_l)   stellarity = 0.97   chisq2 = 140.46   ODDS = 1.00   z_cluster = 0.833