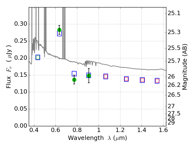
CL0152-13 ACS+IR detection object #5790

Color images and BPZ results
Catalog: 5790.cat
Black segments are analyzed here.   Roll mouse over color images to view segments.
Best viewed in a wide browser window (1200 pixels or more).   Download SED & P(z) plots to view larger versions.
In P(z) plots: Yellow lines mark the cluster redshift z = 0.833,  

Object #5790   x,y = (1942, 3197)   RA, Dec = (01:52:54.192, -13:58:49.08) = (28.22580, -13.98030)   BPZ = 0.019 [0.010--0.041]   type = 11.00 (SB11_A_0_l)   stellarity = 0.86   chisq2 = 0.81   ODDS = 1.00   z_cluster = 0.833