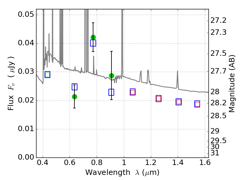
CL0152-13 ACS+IR detection object #19464

Color images and BPZ results
Catalog: 19464.cat
Black segments are analyzed here.   Roll mouse over color images to view segments.
Best viewed in a wide browser window (1200 pixels or more).   Download SED & P(z) plots to view larger versions.
In P(z) plots: Yellow lines mark the cluster redshift z = 0.833,  

Object #19464   x,y = (1402, 5439)   RA, Dec = (01:52:56.400, -13:56:34.44) = (28.23500, -13.94290)   BPZ = 0.092 [0.070--0.698]   type = 10.80 (SB11_A_0_l - SB3_B10)   stellarity = 0.10   chisq2 = 1.07   ODDS = 0.23   z_cluster = 0.833