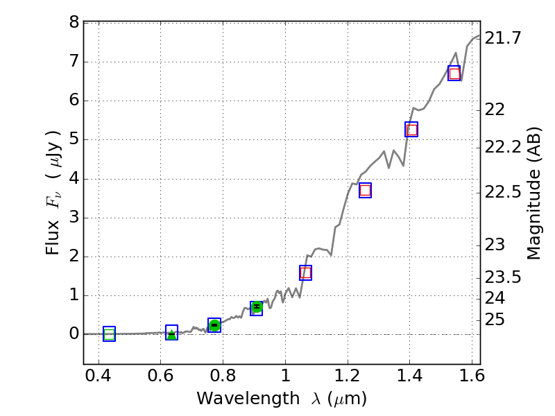
CL0152-13 ACS+IR detection object #17839

Color images and BPZ results
Catalog: 17839.cat
Black segments are analyzed here.   Roll mouse over color images to view segments.
Best viewed in a wide browser window (1200 pixels or more).   Download SED & P(z) plots to view larger versions.
In P(z) plots: Yellow lines mark the cluster redshift z = 0.833,  

Object #17839   x,y = (1374, 5793)   RA, Dec = (01:52:56.520, -13:56:13.20) = (28.23550, -13.93700)   BPZ = 1.661 [1.460--1.723]   type = 1.00 (Ell7_A_0)   stellarity = 0.93   chisq2 = 0.03   ODDS = 0.92   z_cluster = 0.833