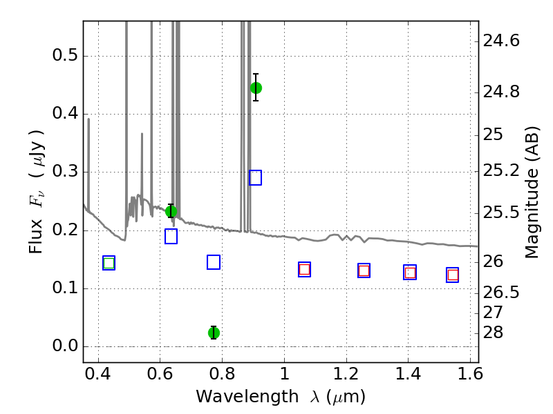
CL0152-13 ACS+IR detection object #1454

Color images and BPZ results
Catalog: 1454.cat
Black segments are analyzed here.   Roll mouse over color images to view segments.
Best viewed in a wide browser window (1200 pixels or more).   Download SED & P(z) plots to view larger versions.
In P(z) plots: Yellow lines mark the cluster redshift z = 0.833,  

Object #1454   x,y = (5669, 1588)   RA, Dec = (01:52:38.832, -14:00:-25.56) = (28.16180, -14.00710)   BPZ = 0.321 [0.303--0.349]   type = 11.00 (SB11_A_0_l)   stellarity = 0.95   chisq2 = 59.64   ODDS = 1.00   z_cluster = 0.833