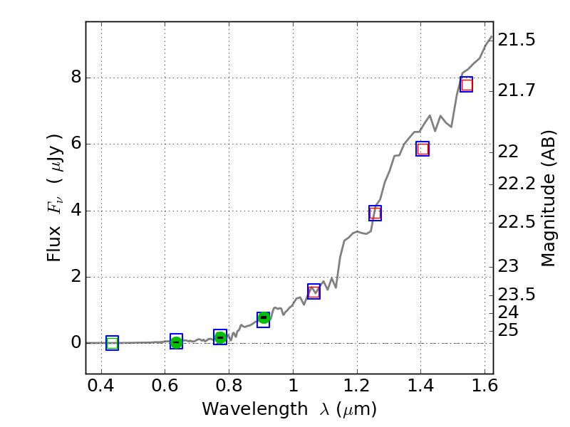
CL0152-13 ACS+IR detection object #13926

Color images and BPZ results
Catalog: 13926.cat
Black segments are analyzed here.   Roll mouse over color images to view segments.
Best viewed in a wide browser window (1200 pixels or more).   Download SED & P(z) plots to view larger versions.
In P(z) plots: Yellow lines mark the cluster redshift z = 0.833,  

Object #13926   x,y = (8115, 5156)   RA, Dec = (01:52:28.752, -13:56:51.36) = (28.11980, -13.94760)   BPZ = 1.885 [1.787--5.698]   type = 2.00 (Ell6_A_0)   stellarity = 1.00   chisq2 = 0.03   ODDS = 0.96   z_cluster = 0.833