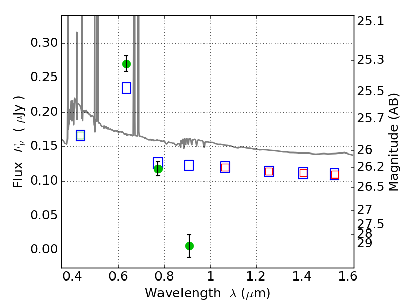
CL0152-13 ACS+IR detection object #1376

Color images and BPZ results
Catalog: 1376.cat
Black segments are analyzed here.   Roll mouse over color images to view segments.
Best viewed in a wide browser window (1200 pixels or more).   Download SED & P(z) plots to view larger versions.
In P(z) plots: Yellow lines mark the cluster redshift z = 0.833,  

Object #1376   x,y = (5590, 1542)   RA, Dec = (01:52:39.144, -14:00:-28.08) = (28.16310, -14.00780)   BPZ = 0.016 [0.010--0.041]   type = 11.00 (SB11_A_0_l)   stellarity = 0.92   chisq2 = 29.92   ODDS = 1.00   z_cluster = 0.833