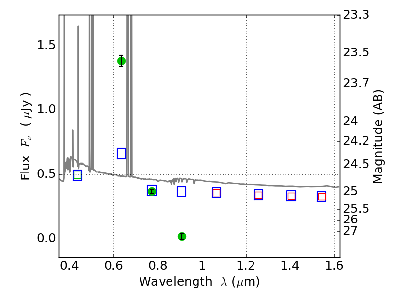
CL0152-13 ACS+IR detection object #12621

Color images and BPZ results
Catalog: 12621.cat
Black segments are analyzed here.   Roll mouse over color images to view segments.
Best viewed in a wide browser window (1200 pixels or more).   Download SED & P(z) plots to view larger versions.
In P(z) plots: Yellow lines mark the cluster redshift z = 0.833,  

Object #12621   x,y = (568, 4880)   RA, Dec = (01:52:59.856, -13:57:07.92) = (28.24940, -13.95220)   BPZ = 0.014 [0.010--0.032]   type = 11.00 (SB11_A_0_l)   stellarity = 0.97   chisq2 = 195.79   ODDS = 1.00   z_cluster = 0.833