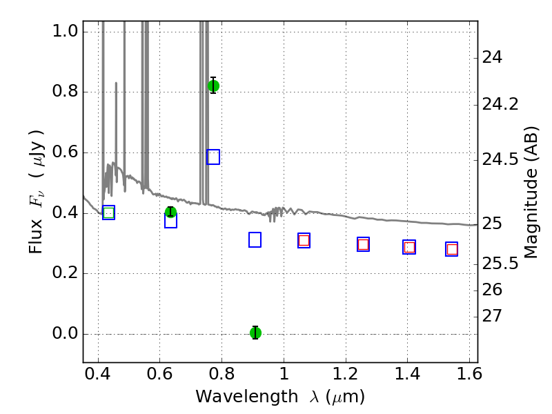
CL0152-13 ACS+IR detection object #1256

Color images and BPZ results
Catalog: 1256.cat
Black segments are analyzed here.   Roll mouse over color images to view segments.
Best viewed in a wide browser window (1200 pixels or more).   Download SED & P(z) plots to view larger versions.
In P(z) plots: Yellow lines mark the cluster redshift z = 0.833,  

Object #1256   x,y = (5563, 1455)   RA, Dec = (01:52:39.264, -14:00:-33.48) = (28.16360, -14.00930)   BPZ = 0.125 [0.107--0.162]   type = 11.00 (SB11_A_0_l)   stellarity = 1.00   chisq2 = 75.48   ODDS = 0.99   z_cluster = 0.833