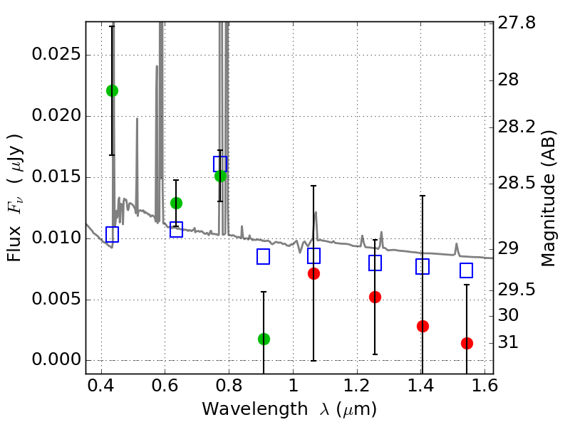
CL0152-13 ACS+IR detection object #12507

Color images and BPZ results
Catalog: 12507.cat
Black segments are analyzed here.   Roll mouse over color images to view segments.
Best viewed in a wide browser window (1200 pixels or more).   Download SED & P(z) plots to view larger versions.
In P(z) plots: Yellow lines mark the cluster redshift z = 0.833,  

Object #12507   x,y = (3879, 4859)   RA, Dec = (01:52:46.200, -13:57:09.36) = (28.19250, -13.95260)   BPZ = 0.177 [0.064--3.130]   type = 10.90 (SB11_A_0_l - SB3_B10)   stellarity = 0.52   chisq2 = 2.17   ODDS = 0.26   z_cluster = 0.833