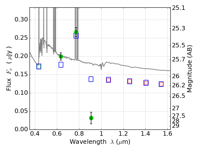
CL0152-13 ACS+IR detection object #1184

Color images and BPZ results
Catalog: 1184.cat
Black segments are analyzed here.   Roll mouse over color images to view segments.
Best viewed in a wide browser window (1200 pixels or more).   Download SED & P(z) plots to view larger versions.
In P(z) plots: Yellow lines mark the cluster redshift z = 0.833,  

Object #1184   x,y = (5482, 1405)   RA, Dec = (01:52:39.600, -14:00:-36.36) = (28.16500, -14.01010)   BPZ = 0.167 [0.067--0.206]   type = 11.00 (SB11_A_0_l)   stellarity = 0.94   chisq2 = 21.97   ODDS = 0.93   z_cluster = 0.833