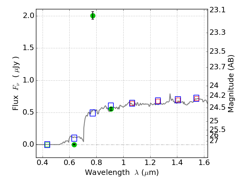
CL0152-13 ACS+IR detection object #11395

Color images and BPZ results
Catalog: 11395.cat
Black segments are analyzed here.   Roll mouse over color images to view segments.
Best viewed in a wide browser window (1200 pixels or more).   Download SED & P(z) plots to view larger versions.
In P(z) plots: Yellow lines mark the cluster redshift z = 0.833,  

Object #11395   x,y = (8449, 4615)   RA, Dec = (01:52:27.360, -13:57:23.76) = (28.11400, -13.95660)   BPZ = 4.803 [4.763--4.888]   type = 9.00 (SB2_B10)   stellarity = 1.00   chisq2 = 400.40   ODDS = 1.00   z_cluster = 0.833