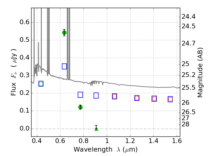
CL0152-13 ACS+IR detection object #10693

Color images and BPZ results
Catalog: 10693.cat
Black segments are analyzed here.   Roll mouse over color images to view segments.
Best viewed in a wide browser window (1200 pixels or more).   Download SED & P(z) plots to view larger versions.
In P(z) plots: Yellow lines mark the cluster redshift z = 0.833,  

Object #10693   x,y = (8327, 4457)   RA, Dec = (01:52:27.864, -13:57:33.48) = (28.11610, -13.95930)   BPZ = 0.013 [0.010--0.029]   type = 11.00 (SB11_A_0_l)   stellarity = 0.99   chisq2 = 87.86   ODDS = 1.00   z_cluster = 0.833