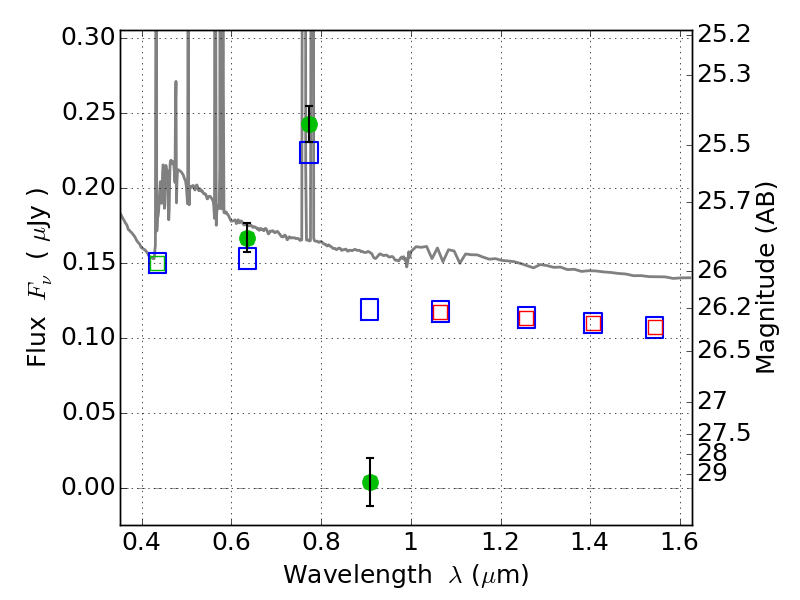
CL0152-13 ACS+IR detection object #944

Color images and BPZ results
Catalog: 944.cat
Black segments are analyzed here.   Roll mouse over color images to view segments.
Best viewed in a wide browser window (1200 pixels or more).   Download SED & P(z) plots to view larger versions.
In P(z) plots: Yellow lines mark the cluster redshift z = 0.833,  

Object #944   x,y = (5324, 1245)   RA, Dec = (01:52:40.248, -14:00:-46.08) = (28.16770, -14.01280)   BPZ = 0.160 [0.108--0.200]   type = 11.00 (SB11_A_0_l)   chisq2 = 29.05   ODDS = 0.96   z_cluster = 0.833