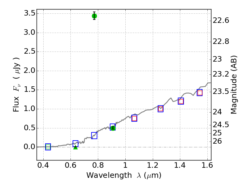
CL0152-13 ACS+IR detection object #844

Color images and BPZ results
Catalog: 844.cat
Black segments are analyzed here.   Roll mouse over color images to view segments.
Best viewed in a wide browser window (1200 pixels or more).   Download SED & P(z) plots to view larger versions.
In P(z) plots: Yellow lines mark the cluster redshift z = 0.833,  

Object #844   x,y = (5263, 1173)   RA, Dec = (01:52:40.488, -14:00:-50.40) = (28.16870, -14.01400)   BPZ = 0.761 [0.731--4.832]   type = 1.00 (Ell7_A_0)   chisq2 = 511.10   ODDS = 0.70   z_cluster = 0.833