CL0152-13 ACS+IR detection object #4671

Color images and BPZ results
Catalog: 4671.cat
Black segments are analyzed here.   Roll mouse over color images to view segments.
Best viewed in a wide browser window (1200 pixels or more).   Download SED & P(z) plots to view larger versions.
In P(z) plots: Yellow lines mark the cluster redshift z = 0.833,  

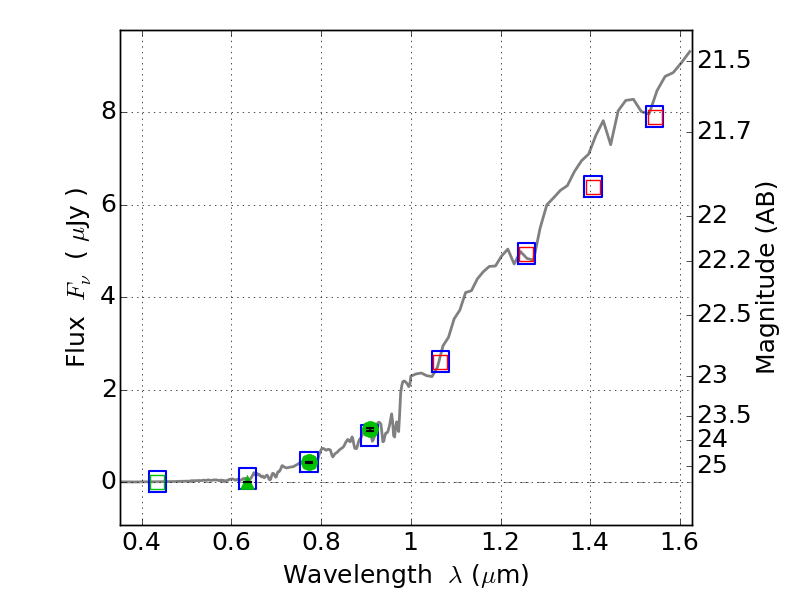
Object #4671   x,y = (6869, 2879)   RA, Dec = (01:52:33.888, -13:59:08.16) = (28.14120, -13.98560)   BPZ = 1.451 [1.424--1.687]   type = 1.00 (Ell7_A_0)   chisq2 = 0.08   ODDS = 0.71   z_cluster = 0.833