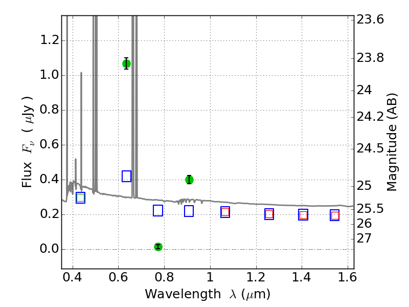
CL0152-13 ACS+IR detection object #4593

Color images and BPZ results
Catalog: 4593.cat
Black segments are analyzed here.   Roll mouse over color images to view segments.
Best viewed in a wide browser window (1200 pixels or more).   Download SED & P(z) plots to view larger versions.
In P(z) plots: Yellow lines mark the cluster redshift z = 0.833,  

Object #4593   x,y = (6893, 2853)   RA, Dec = (01:52:33.792, -13:59:09.60) = (28.14080, -13.98600)   BPZ = 0.011 [0.010--0.027]   type = 11.00 (SB11_A_0_l)   chisq2 = 305.70   ODDS = 1.00   z_cluster = 0.833