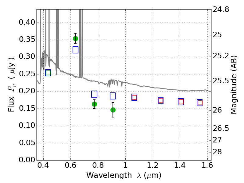
CL0152-13 ACS+IR detection object #3015

Color images and BPZ results
Catalog: 3015.cat
Black segments are analyzed here.   Roll mouse over color images to view segments.
Best viewed in a wide browser window (1200 pixels or more).   Download SED & P(z) plots to view larger versions.
In P(z) plots: Yellow lines mark the cluster redshift z = 0.833,  

Object #3015   x,y = (6337, 2299)   RA, Dec = (01:52:36.072, -13:59:42.72) = (28.15030, -13.99520)   BPZ = 0.017 [0.010--0.038]   type = 11.00 (SB11_A_0_l)   chisq2 = 4.86   ODDS = 1.00   z_cluster = 0.833